******best365英国体育在线(中文)有限公司

科学研究

SCIENTIFIC_RESEARCH

当前位置:首页 > 科学研究 > 科研进展 > 正文

  • 主研方向
  • 科研队伍
  • 科研进展
  • best365英国体育在线柑桔研究所资源与育种中心团队揭示不同柑橘砧木细根周年动态变化和空间分布
    发布时间:2024/06/04 | 供稿:朱世平 | 编辑:杜肖影 | 审核:陶镜宇 王雪峰 刘昭暾打印

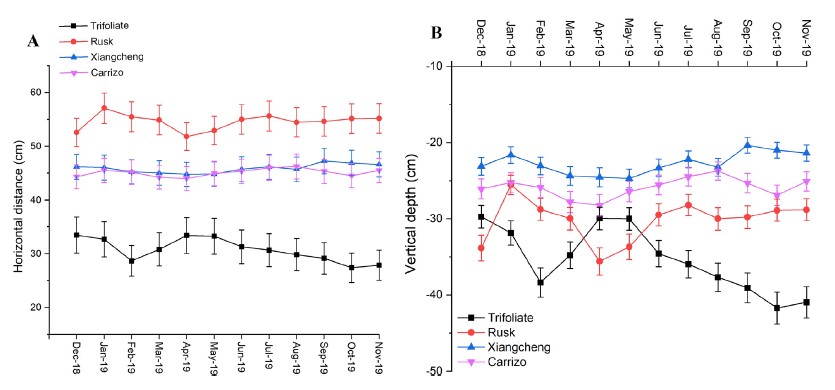
    2024年5月,best365英国体育在线柑桔研究所资源与育种中心团队在园艺学Top期刊《Scientia Horticulturae》发表题为“Seasonal changes and spatial distribution of citrus fine roots in different rootstocks”的研究论文。

    细根是植物从土壤中吸收水分和营养等资源的最主要器官,但不同柑橘砧木细根的周年动态变化和空间分布并不清楚。长期过量和不合理施肥已经导致严重的面源污染,阻碍农业可持续发展,威胁着人类健康,亟需了解和掌握柑橘细根动态和空间分布利于精准的肥水管理。

    本研究利用微根窗技术,对不同柑橘砧木根系的周年变化动态和空间分布进行了连续追踪。结果显示,不同柑橘砧木的细根特征、变化动态和空间分布差异显著。枳的细根直径最小,卡里佐枳橙的细根直径和细根数量最大;枳的变化动态与其它三种砧木不同;冬季干旱条件下,枳的根直径、根长和根表面积相比其它季节变化较大;在空间分布上,枳的细根距主干最近且分布最深,而Rusk枳橙的细根距主干最远,香橙的细根分布最浅。本研究为不同砧木柑橘肥水的精准管理提供重要依据。

    D32E

    E35B

    ED5C

    1CD02

    best365英国体育在线柑桔研究所硕士研究生郑赛航为论文第一作者,朱世平副研究员为论文通讯作者。该研究得到了国家重点研发计划项目(2023YFD1200100)、现代农业(柑桔)产业技术体系(CARS-26)和中央高效基本业务费(SWU-XDJH202308)等项目的资助。

    论文链接:https://doi.org/10.1016/j.scienta.2024.113307

    来源:资源与育种中心

    - 您是第位访问该页面的朋友~ -
    • 概 况
    • 所 徽
    • 立所精神

    柑桔所成立于1960年,位于重庆市北碚区国家级风景名胜区缙云山麓,风景秀丽的嘉陵江畔,毗邻大磨滩湿地公园,占地面积1918亩,是唯一的国家级柑桔专业科研机构,正在打造国家柑桔公园。点击查看【建所60周年工作回顾视频】

    • 地址:重庆市北碚区歇马街道
    • 电话:023-68349709、68349708
    • 传真:023-68349712
    • 网址:http:

    所徽“天圆地方”,反映中柑所人“壹志嘉树”,以推进柑桔科技进步、产业发展为立所根本之严谨风格和博大胸怀;核心的圆形简洁勾画出“柑桔”、形象反映出中柑所专注柑桔科研的行业特征;而围绕主体的弧线代表了科技,象征着中柑所人“修远求索”的治学态度,求真务实的科研精神;星形元素立意中柑所人志在建立一个“方圆”宇宙之间柑桔科研领域的一颗的明星,闪闪发光,惠泽全人类。

    “壹志嘉树,修远求索”,分别选自中国历史上第一位伟大的爱国诗人屈原《橘颂》和《离骚》中的名句。这八个字是五十年来柑桔所人传承积淀下来的优良传统、精神风貌及办所理念的高度浓缩和凝炼提升,并与中国数千年博大精深的文化底蕴和人文精神相互交融辉映,寓意深远 ...