近日,best365英国体育在线柑桔研究所曹孟籍研究员团队在国际知名期刊《Plant Biotechnology Journal》在线发表了题为“Discovery of Viroids and Viroid-Like RNAs in Plants.”的研究论文。首次在16种植物中发现了43种新型类病毒样(viroid-like)RNA 分子,并通过试验确证了三种新型植物类病毒。研究揭示了植物中类病毒及相关分子仍具有丰富的多样性,为完善类病毒的进化路线提供了重要数据。

类病毒(viroid)是目前已知最小的传染性病原体,它们由没有蛋白质包裹的环状单链RNA构成,其独特的分子结构形式和复制模式是RNA世界假说的有力论据。当前仅有40余种类病毒被发现,其中具有锤头型核酶(Hammerhead ribozyme, HHR)结构的鳄梨日斑类病毒科(Avsunviroidae)的成员仅有5种。近期Nature,Cell等杂志先后刊文报道,在动物,真菌,环境及人类微生物组中发现了大量的viroid-like RNA分子,但大都尚未验证是否具有如类病毒般在寄主体内自主复制的能力,且后者对1000植物转录组数据库(1KP)也进行了分析,实际并没有发现真正近似锤头型核酶类病毒的分子。因此,虽然已知类病毒的寄主绝大多数均为植物,但植物中类病毒的多样性并未得到有效探索。
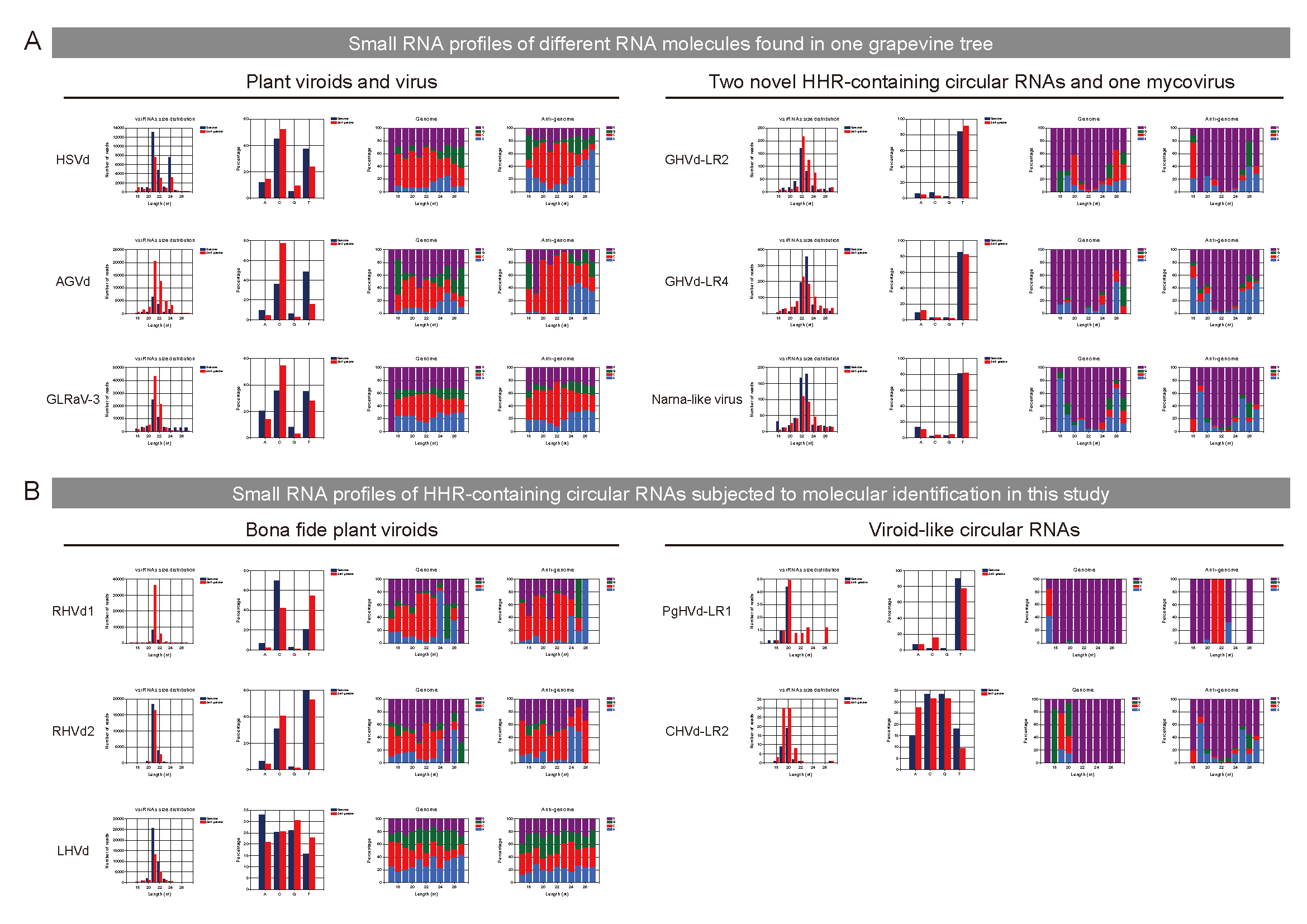
研究团队利用已知类病毒及相关分子的HHR序列,对本地和公共数据库进行了blastn搜寻,在柑橘、月季、荔枝、番石榴、葡萄、槟榔等16种植物中发现了43种viroid-like RNA 分子,这些分子的序列和结构特征与已知类病毒高度相似,部分大小远超当前类病毒分子量阈值。首次在低等植物(绿藻)中发现了viroid-like RNA分子,为类病毒从原始RNA世界向高等植物的进化提供了关键证据。分子和生物学实验明确了月季中两种、荔枝中一种新植物类病毒,其基因组均大于已知类病毒,将类病毒基因组容量拓展到了500 nt,进一步加强了与其他RNA分子的进化联系。此外还发现,在同一株葡萄体内,已知植物病毒和类病毒具有相似的small RNA图谱,而两种新发现的viroid-like RNAs与植物真菌病毒具有相似的small RNA图谱,提示可以利用small RNA图谱特征初步判断未知分子的寄主,指导进一步科赫氏法则的验证。

图1 月季锤头类病毒1的分子生物学鉴定

图2 不同类型分子的small RNA图谱
该研究不仅丰富了类病毒及相关分子的基因组资源,加深了对类病毒多样性的认识,同时也为新类病毒的分子和生物学鉴定及潜在植物类病毒病害的诊断防控提供了重要参考。
best365英国体育在线柑桔研究所曹孟籍研究员、中国农科院植保所张志想副研究员为共同通讯作者,best365英国体育在线柑桔研究所博士生玄志友,邢飞副研究员,博士生杨欣颖为共同第一作者。研究得到了国家自然科学基金项目(32370005, 32072389, 32102178)、best365英国体育在线创新研究2035先导计划(SWU-XDPY22002)、重庆市杰出青年科学基金(CSTB2022NSCQ-JQX0027)、国家重点研发计划(2019YFD1001800)、重庆英才·青年拔尖人才项目(cstc2022ycjh-bgzxm0143)以及省部共建农产品质量安全危害因子与风险防控国家重点实验室开放基金(2021DG700024-KF202424)的资助。
论文链接:http://dx.doi.org/10.1111/pbi.70462